Téléchargé 1 fois
Vote des utilisateurs


Détails
Licence : Non renseignée
Mise en ligne le 16 mai 2017
Langue : Français
Référencé dans
Navigation
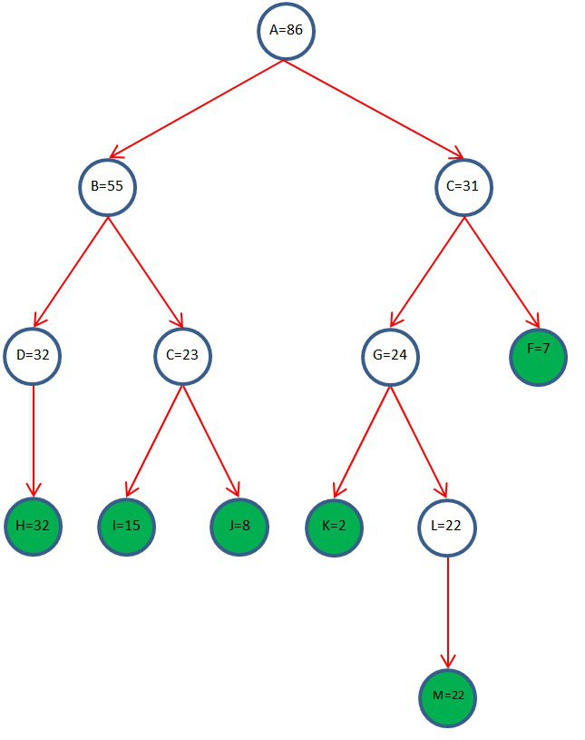
culcul des noeuds d'un arbre
culcul des noeuds d'un arbre
J'ai développé une procédure qui calcule valeurs des nœuds d'un arbre donné.
La procédure base sur l'idée de récursivité, c’est vraiment un casse tête pour l’implémenter.
Donc, j'ai pensé à modéliser mon idée sous un SQL/Oracle en mettant la requête générique valable pour n'importe quel arbre .
L'arbre doit être introduit dans une table. cette dernière comporte 03 champs: pere, fils et valeur.
[b]Exemples:[/b]
Les noeuds sont presentés comme suite dans la table:
pere | fils | valeur
A | B | null
Les feuilles sont présentés comme suite dans la table:
pere | fils | valeur
B | null| 3
REQUETE est sur le lien de téléchargement.
http://sqlfiddle.com/#!4/1210c6/74
Code : | Sélectionner tout |
1 2 3 4 5 6 7 8 9 10 11 12 13 14 15 16 17 18 19 20 21 22 23 24 25 26 27 28 29 30 31 32 33 34 35 36 37 38 39 40 41 42 43 44 45 46 | with tab as ( select 'A' pere, 'B' fils, null valeur from dual union select 'A', 'C', null from dual union select 'B', 'D', null from dual union select 'B', 'E', null from dual union select 'D', 'H', null from dual union select 'E', 'I', null from dual union select 'E', 'J', null from dual union select 'J', null, 8 from dual union select 'I', null, 15 from dual union select 'H', null, 32 from dual union select 'C', 'F', null from dual union select 'F', null, 7 from dual union select 'C', 'G', null from dual union select 'G', 'K', null from dual union select 'G', 'L', null from dual union select 'L', 'M', null from dual union select 'K', null, 2 from dual union select 'M', null, 22 from dual ), rec(lvl, path, root, pere, fils, valeur, is_leaf) as ( select level, sys_connect_by_path(pere,'/'), connect_by_root pere as root, pere, fils, nvl(valeur,0), connect_by_isleaf from tab start with pere in ( select pere from tab t1 where not exists(select t2.fils from tab t2 where t2.fils = t1.pere) ) connect by prior fils = pere ), rec_dep as ( select distinct r1.path as path, r2.path as depending_on, r2.valeur, r2.is_leaf, r1.lvl from rec r1 join rec r2 on instr(r2.path, r1.path, 1,1) > 0 and r1.path <> r2.path ), results as ( select substr(path,instr(path,'/',-1)+1) as node, path, sum(valeur) as valeur from rec_dep group by path union select substr(depending_on,instr(depending_on,'/',-1)+1), depending_on, valeur from rec_dep where depending_on not in (select path from rec_dep) and is_leaf = 1 and regexp_count(path,'/') = regexp_count(depending_on,'/')-1 ) select * from results order by node; |
Developpez.com décline toute responsabilité quant à l'utilisation des différents éléments téléchargés.